بسم الله الرحمن الرحيم
السلام عليكم ورحمه الله وبركاته
نقدم لكل طلاب الثانوية الأزهرية شعبة علمي رياضة ، تحميل الإجابة النموذجية للامتحان في الدور الاول 2024 مع خطوات الحل والاسئلة المثالية ، ننقل لكم التفاصيل كاملة على موقع أكاديمية كتاتيب مصر تابعو معنا هذا المقال..
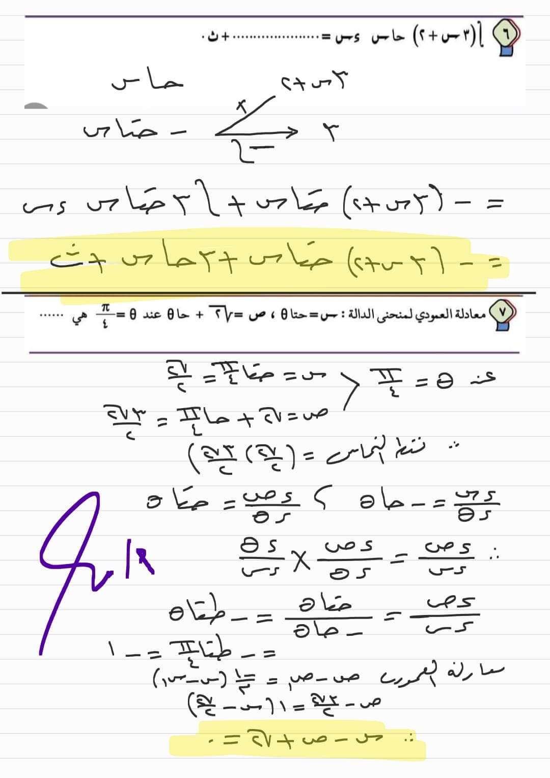
تحميل الإجابة النموذجية لامتحان التفاضل والتكامل للثانوية الأزهرية 2024








تحميل امتحانات مواد الثانوية العامة والأزهرية مع الاجابات
لمزيد من المعلومات والتفاصيل نرجو منكم متابعتنا على صفحتنا على فيسبوك من الرابط التالي
https://www.facebook.com/ktateb
خالص تمنياتنا لكم بالتوفيق لجميع الإخوة الزملاء المعلمين والمعلمات وابنائنا الطلاب والطالبات في جميع المراحل التعليمية وانتظروا المزيد من اخبار وأدوات التعليم والملازم والمراجعات على موقع أكاديمية كتاتيب مصر تابعونا.







