أهم اسئلة مراجعة ليلة الامتحان الجبر والهندسة الفراغية بالاجابات وخطوات الحل

بسم الله الرحمن الرحيم

 

السلام عليكم ورحمه الله وبركاته

 

نقدم لكل طلاب الثانوي العامة علمي رياضة تحميل أهم اسئلة مراجعة ليلة الامتحان الجبر والهندسة الفراغية بالاجابات وخطوات الحل ، ننقل لكم التفاصيل كاملة على موقع أكاديمية كتاتيب مصر تابعو معنا هذا المقال..

 

 

 

 

تحميل أهم اسئلة مراجعة ليلة الامتحان الجبر والهندسة الفراغية بالاجابات وخطوات الحل

 

 

أهم اسئلة مراجعة ليلة الامتحان الجبر والهندسة الفراغية بالاجابات وخطوات الحل
أهم اسئلة مراجعة ليلة الامتحان الجبر والهندسة الفراغية بالاجابات وخطوات الحل
أهم اسئلة مراجعة ليلة الامتحان الجبر والهندسة الفراغية بالاجابات وخطوات الحل
أهم اسئلة مراجعة ليلة الامتحان الجبر والهندسة الفراغية بالاجابات وخطوات الحل
أهم اسئلة مراجعة ليلة الامتحان الجبر والهندسة الفراغية بالاجابات وخطوات الحل
أهم اسئلة مراجعة ليلة الامتحان الجبر والهندسة الفراغية بالاجابات وخطوات الحل
أهم اسئلة مراجعة ليلة الامتحان الجبر والهندسة الفراغية بالاجابات وخطوات الحل
أهم اسئلة مراجعة ليلة الامتحان الجبر والهندسة الفراغية بالاجابات وخطوات الحل
أهم اسئلة مراجعة ليلة الامتحان الجبر والهندسة الفراغية بالاجابات وخطوات الحل
أهم اسئلة مراجعة ليلة الامتحان الجبر والهندسة الفراغية بالاجابات وخطوات الحل
أهم اسئلة مراجعة ليلة الامتحان الجبر والهندسة الفراغية بالاجابات وخطوات الحل
أهم اسئلة مراجعة ليلة الامتحان الجبر والهندسة الفراغية بالاجابات وخطوات الحل
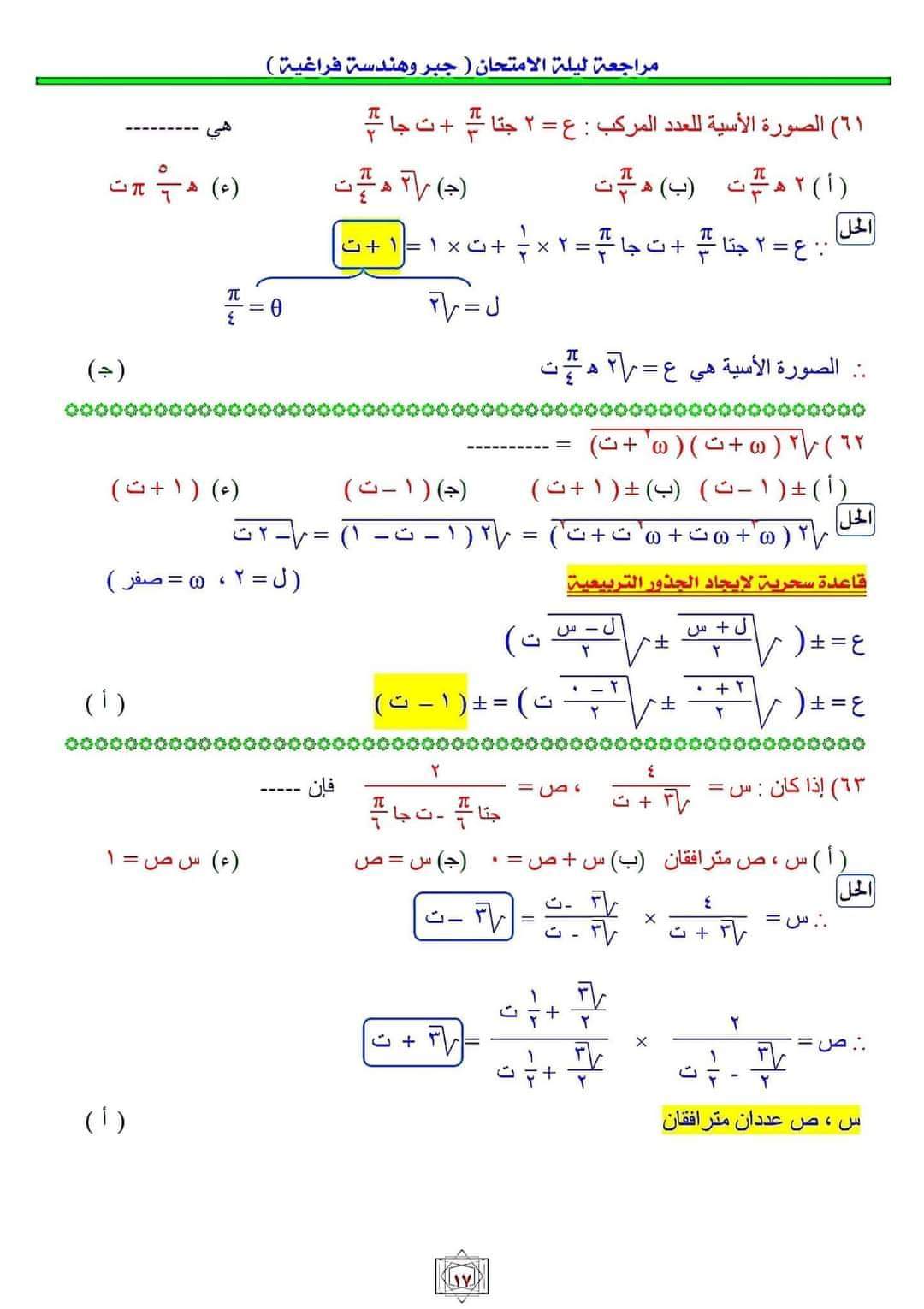
أهم اسئلة مراجعة ليلة الامتحان الجبر والهندسة الفراغية بالاجابات وخطوات الحل
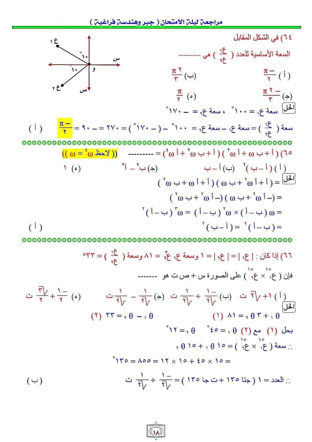
أهم اسئلة مراجعة ليلة الامتحان الجبر والهندسة الفراغية بالاجابات وخطوات الحل
أهم اسئلة مراجعة ليلة الامتحان الجبر والهندسة الفراغية بالاجابات وخطوات الحل
أهم اسئلة مراجعة ليلة الامتحان الجبر والهندسة الفراغية بالاجابات وخطوات الحل
أهم اسئلة مراجعة ليلة الامتحان الجبر والهندسة الفراغية بالاجابات وخطوات الحل
أهم اسئلة مراجعة ليلة الامتحان الجبر والهندسة الفراغية بالاجابات وخطوات الحل
أهم اسئلة مراجعة ليلة الامتحان الجبر والهندسة الفراغية بالاجابات وخطوات الحل
أهم اسئلة مراجعة ليلة الامتحان الجبر والهندسة الفراغية بالاجابات وخطوات الحل
أهم اسئلة مراجعة ليلة الامتحان الجبر والهندسة الفراغية بالاجابات وخطوات الحل
أهم اسئلة مراجعة ليلة الامتحان الجبر والهندسة الفراغية بالاجابات وخطوات الحل
أهم اسئلة مراجعة ليلة الامتحان الجبر والهندسة الفراغية بالاجابات وخطوات الحل
أهم اسئلة مراجعة ليلة الامتحان الجبر والهندسة الفراغية بالاجابات وخطوات الحل
أهم اسئلة مراجعة ليلة الامتحان الجبر والهندسة الفراغية بالاجابات وخطوات الحل
أهم اسئلة مراجعة ليلة الامتحان الجبر والهندسة الفراغية بالاجابات وخطوات الحل
أهم اسئلة مراجعة ليلة الامتحان الجبر والهندسة الفراغية بالاجابات وخطوات الحل
أهم اسئلة مراجعة ليلة الامتحان الجبر والهندسة الفراغية بالاجابات وخطوات الحل
أهم اسئلة مراجعة ليلة الامتحان الجبر والهندسة الفراغية بالاجابات وخطوات الحل
أهم اسئلة مراجعة ليلة الامتحان الجبر والهندسة الفراغية بالاجابات وخطوات الحل
أهم اسئلة مراجعة ليلة الامتحان الجبر والهندسة الفراغية بالاجابات وخطوات الحل
أهم اسئلة مراجعة ليلة الامتحان الجبر والهندسة الفراغية بالاجابات وخطوات الحل
أهم اسئلة مراجعة ليلة الامتحان الجبر والهندسة الفراغية بالاجابات وخطوات الحل
أهم اسئلة مراجعة ليلة الامتحان الجبر والهندسة الفراغية بالاجابات وخطوات الحل

 

 

 

تحميل توقعات امتحانات مواد الثانوية العامة

 

 

لمزيد من المعلومات والتفاصيل نرجو منكم متابعتنا على صفحتنا على فيسبوك من الرابط التالي

 

https://www.facebook.com/ktateb

 

 

 

 

خالص تمنياتنا لكم بالتوفيق لجميع الإخوة الزملاء المعلمين والمعلمات وابنائنا الطلاب والطالبات في جميع المراحل التعليمية وانتظروا المزيد من اخبار وأدوات التعليم والملازم والمراجعات على موقع أكاديمية كتاتيب مصر تابعو معنا.

تدشين منصة كتاتيب

تأسست منصة واكاديمية كتاتيب اونلاين في يناير من العام 2013 كأول منصة مصرية وعربية تهتم بنظام التعليم عن بعد . ننشر كل ما يهم المعلم المصري، وأبنائنا في الخارج والطالب من أخبار التعليم وقرارات الوزارة وجديد المناهج الدراسية .

وتجهزنا خصيصاً في كتاتيب لنناسب هوية المجتمع المصري، وعاداته وتقاليده. كما تخصص المنصة خدماتها في مجال الاستشارات التعليمية والتربوية للمدارس الحكومية والأهلية & والجهات المهتمة بمجال التعليم عامة.

معنى كتاتيب

معنى تسمية المنصة بـ(كتاتيب)، وهو جمع (كُتَاب) لفظ قديم يُطلق على مكان تعليم الصغار القراءة والكتابة وتحفيظهم القرآن،
لتُلخص فكرة المنصة في التركيز على تعزيز حب العلم والتعلم وتسهيل التواصل بين الطالب والمعلم وتسهيل متابعة اداء الطالب والمعلم من اولياء الأمور والكشف الدوري عن مستوياتهم وسهولة متابعة حضور الطالب ومستواه وتحصيله الدراسي.

مرحبا بك مرة أخرى في كتاتيب

سجل دخولك لحسابك من هنا

Retrieve your password

Please enter your username or email address to reset your password.

Add New Playlist