تحميل امتحان الجبر والهندسة الفراغية للصف الثالث الثانوي 2022 بالاجابات

بسم الله الرحمن الرحيم

 

 

 

 

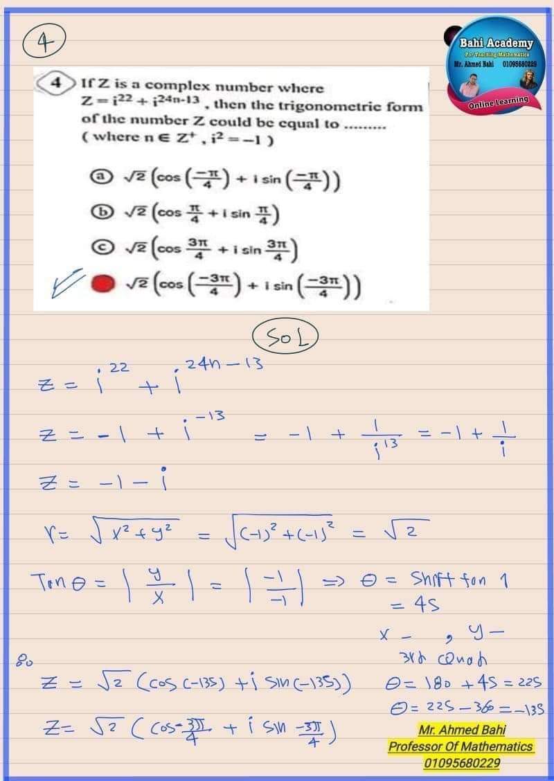
تحميل امتحان الجبر والهندسة الفراغية للصف الثالث الثانوي 2022 بالاجابات

 

 

تحميل امتحان الجبر والهندسة الفراغية للصف الثالث الثانوي 2022 بالاجابات
تحميل امتحان الجبر والهندسة الفراغية للصف الثالث الثانوي 2022 بالاجابات
تحميل امتحان الجبر والهندسة الفراغية للصف الثالث الثانوي 2022 بالاجابات
تحميل امتحان الجبر والهندسة الفراغية للصف الثالث الثانوي 2022 بالاجابات
تحميل امتحان الجبر والهندسة الفراغية للصف الثالث الثانوي 2022 بالاجابات
تحميل امتحان الجبر والهندسة الفراغية للصف الثالث الثانوي 2022 بالاجابات
تحميل امتحان الجبر والهندسة الفراغية للصف الثالث الثانوي 2022 بالاجابات
تحميل امتحان الجبر والهندسة الفراغية للصف الثالث الثانوي 2022 بالاجابات
تحميل امتحان الجبر والهندسة الفراغية للصف الثالث الثانوي 2022 بالاجابات
تحميل امتحان الجبر والهندسة الفراغية للصف الثالث الثانوي 2022 بالاجابات

 

 

 

الثالث_الثانوي
رياضيات_لغات_Math2022_2023
جبر_وهندسة_فراغية Algebra_Solid_Geometry

 

امتحان شهادة إتمام الثانوية العامة الدور الأول 2021/2022 بالإجابات التفصيلية
م / أحمد باهي

 

للتحميل نسخة الطباعة من الرابط التالي

https://drive.google.com/file/d/1dtn2MiR38x9djprEl8a4J7LsWwCebtI7/view?usp=drivesdk

 

 

 

 

 

خالص أمنياتنا بالتوفيق لجميع الطلاب ان شاء الله في جميع المراحل الدراسية انتظرو كل ماهو جديد يخص أخبار وأدوات التعليم للمرحلة الثانوية على منصة كتاتيب مصر.

تدشين منصة كتاتيب

تأسست منصة واكاديمية كتاتيب اونلاين في يناير من العام 2013 كأول منصة مصرية وعربية تهتم بنظام التعليم عن بعد . ننشر كل ما يهم المعلم المصري، وأبنائنا في الخارج والطالب من أخبار التعليم وقرارات الوزارة وجديد المناهج الدراسية .

وتجهزنا خصيصاً في كتاتيب لنناسب هوية المجتمع المصري، وعاداته وتقاليده. كما تخصص المنصة خدماتها في مجال الاستشارات التعليمية والتربوية للمدارس الحكومية والأهلية & والجهات المهتمة بمجال التعليم عامة.

معنى كتاتيب

معنى تسمية المنصة بـ(كتاتيب)، وهو جمع (كُتَاب) لفظ قديم يُطلق على مكان تعليم الصغار القراءة والكتابة وتحفيظهم القرآن،
لتُلخص فكرة المنصة في التركيز على تعزيز حب العلم والتعلم وتسهيل التواصل بين الطالب والمعلم وتسهيل متابعة اداء الطالب والمعلم من اولياء الأمور والكشف الدوري عن مستوياتهم وسهولة متابعة حضور الطالب ومستواه وتحصيله الدراسي.

مرحبا بك مرة أخرى في كتاتيب

سجل دخولك لحسابك من هنا

Retrieve your password

Please enter your username or email address to reset your password.

Add New Playlist