بسم الله الرحمن الرحيم
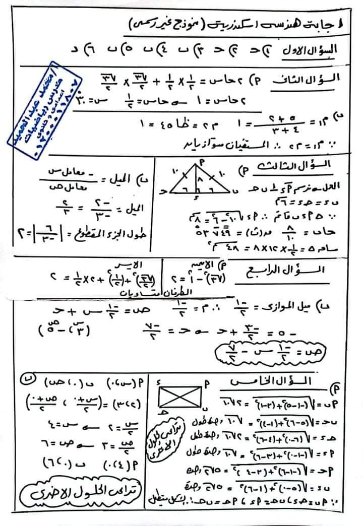
تحميل حل امتحان الهندسة محافظة الاسكندرية الصف الثالث الاعدادي الترم الاول 2023

خالص أمنياتنا بالتوفيق لجميع الطلاب ان شاء الله في جميع المراحل الدراسية انتظرو كل ماهو جديد يخص أخبار وأدوات التعليم على منصة كتاتيب مصر
بسم الله الرحمن الرحيم

خالص أمنياتنا بالتوفيق لجميع الطلاب ان شاء الله في جميع المراحل الدراسية انتظرو كل ماهو جديد يخص أخبار وأدوات التعليم على منصة كتاتيب مصر
تأسست منصة واكاديمية كتاتيب اونلاين في يناير من العام 2013 كأول منصة مصرية وعربية تهتم بنظام التعليم عن بعد . ننشر كل ما يهم المعلم المصري، وأبنائنا في الخارج والطالب من أخبار التعليم وقرارات الوزارة وجديد المناهج الدراسية .
وتجهزنا خصيصاً في كتاتيب لنناسب هوية المجتمع المصري، وعاداته وتقاليده. كما تخصص المنصة خدماتها في مجال الاستشارات التعليمية والتربوية للمدارس الحكومية والأهلية & والجهات المهتمة بمجال التعليم عامة.
معنى تسمية المنصة بـ(كتاتيب)، وهو جمع (كُتَاب) لفظ قديم يُطلق على مكان تعليم الصغار القراءة والكتابة وتحفيظهم القرآن،
لتُلخص فكرة المنصة في التركيز على تعزيز حب العلم والتعلم وتسهيل التواصل بين الطالب والمعلم وتسهيل متابعة اداء الطالب والمعلم من اولياء الأمور والكشف الدوري عن مستوياتهم وسهولة متابعة حضور الطالب ومستواه وتحصيله الدراسي.